COST-BENEFIT ANALYSIS OF AGROFORESTRY PRODUCTS
-Dr SP Singh1 Shreya Sonali2
Abstract
This paper is an outcome of the assignment of Economics of Agroforestry Course of C3F 24-25 batch professionals. This paper discusses about the cost benefit analysis of agroforestry products. It involves comparing the total costs incurred in implementing agroforestry with the benefits generated over time. Other than the cost and benefit, the environmental, social and economics befit has also been observed in the agroforestry products. This has an Importance in Agroforestry firstly, to identify the most cost-effective tree-crop combinations, secondly determining the financial feasibility of agroforestry systems Thirdly encouraging government support through subsidies and incentives and lastly assess the environmental impact and long-term benefits of agroforestry. This study also highlights the case study of Bihar, Poplar-based agroforestry products, Mango-Wheat Agroforestry System. The study concludes and suggest how the environmental benefit are helpful in mitigating the impact of climate change, and how the agroforestry models like Mango-Wheat and Poplar-Sugarcane in Bihar offer long-term economic and environmental benefits. A thorough cost-benefit analysis shows that these systems are financially viable, enhance rural livelihoods, and contribute to sustainable agricultural development.
Key words: Cost Benefit, Agroforestry products, environmental Benefit, climate change
INTRODUCTION:
Agroforestry is a sustainable land management practice that integrates trees, crops, and livestock in the same area to optimize the ecological, economic, and social benefits. It is an age-old practice that has gained renewed interest due to its potential to enhance biodiversity, improve soil health, increase productivity, and provide financial stability to farmers. In Bihar, where agriculture is a primary livelihood, agroforestry presents an opportunity to address challenges such as land degradation, declining soil fertility, and climate change impacts while enhancing income sources for farmers. Conducting a cost-benefit analysis (CBA) of agroforestry helps in understanding its economic viability, long-term sustainability, and potential to improve rural livelihoods.
OBJECTIVES OF THE PAPER:
- To identify the most cost-effective tree-crop combinations
- To determine the financial feasibility of agroforestry systems
- To encourage government support through subsidies and incentives
- To assess the environmental impact and long-term benefits of agroforestry.
Based on the above objectives the methodology is as follows:
Methodology…
In this paper the Cost benefit method have been used and applied for the agro forestry product. The proposed methodology is based on the spread-sheet model applies the same set of principles used by Gergersen and Contreras. As well as facilitating the usual set of NPV and IRR calculations the spread-sheet model makes it easier to include environmental effects and to take account of financial and Community concerns as well as economic efficiency.
Further, a spreadsheet divided into five inter-related sections:
a) the variables section, containing all the relevant data
b) the market analysis, valuing the project at market prices
c) the proponent analysis, calculating the value of the project to the project proponent
d) the efficiency analysis, calculating the value of the project to the economy
e) the referent group analysis, calculating the value of the project to the community
There are three main formulae used in cost-benefit analysis: net present value, rate of return and cost-effectiveness calculations. This section provides overviews of these methods and the subsequent section deals with the issues of the societal distribution of costs and benefits and the choice of discount rate.
1. Net present value:
The net present value (NPV) is an overall measure of the difference between the costs and benefits of an intervention. Intuitively, if the intervention contributes more benefits to members of society than the costs it imposes on society, then there is an argument for implementing the intervention. However, the time period in which the costs and benefits are generated or received can vary, so the costs and benefits need to be reduced to a single comparable time period by some method.
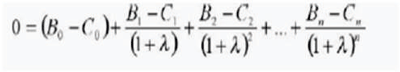
In general terms, given a stream of benefits, BO, B1, B2… and costs CO, C1, C2…, the formula for the net present value (or NPV) is:or, more briefly, where r is the rate of discount and the sub-scripts 0, 1, 2… refer to each time period with 0 representing the start of the intervention. When comparing projects, r should include a premium for the risk and uncertainty associated with predicted future benefits and costs.
If costs are one-off and concentrated in the initial time period (such that C1 = C2 = Cn =0) and the stream of benefits (B) is constant and infinite (n=), then Both benefits and costs need to be reduced to a common denominator, usually money. The investment decision rule is either to invest in all interventions that have a net present value greater than zero, or alternatively to rank interventions according to their net present value.

Net present value (NPV) can only be used in circumstances where the main costs and benefits of an intervention can be reduced to a common unit of account, usually money. This ensures that the value to the participant and society of higher wages, a more rewarding job, less crime and less social dislocation can be monetised in a meaningful way. If the methods used to monetise these effects are not well accepted by policy makers then this method of deciding between interventions should not be used
RATE OF RETURN:
The rate of return formula uses many of the same assumptions as the net present value referred to above, but instead of calculating a single measure of net benefits at a given discount rate, it estimates the discount rate that is required to produce a single net benefit measure of zero. The rate of return, is derived from the formula:


Cost effectiveness
where t is the time horizon for the intervention. The investment decision rule is to invest in all interventions with an internal rate of return greater than the societal rate of time preference. The latter is the rate at which the average member of society is prepared to forego benefits in the current period, in order to receive benefits in a later period.
Cost effectiveness approaches are used when it is not considered meaningful to monetise the benefit streams, and the investment criterion is reduced to ranking the costs of achieving the same goals through different interventions. For example, raising the school retention rate for a target population may be achieved by preschool programs, parent education and awareness programs or direct financial incentives to families. In this case, the investment decision criterion would be to minimise the new present value of costs:

where NPC is net present costs.
Part – III
Analysis
i) Concept of Cost-Benefit Analysis in Agroforestry
Cost-Benefit Analysis (CBA) is an economic evaluation technique used to assess the financial feasibility and sustainability of agroforestry practices. It involves comparing the total costs incurred in implementing agroforestry with the benefits generated over time.
ii) Key Components of CBA in Agroforestry
1. Costs in Agroforestry:
Initial investment costs (land preparation, tree saplings, labour) Maintenance costs (irrigation, fertilization, pest control) Opportunity costs (income foregone from alternative land use) Harvesting and processing costs (cutting, drying, storage, transportation)
2. Benefits of Agroforestry:
a. Economic Benefits (increased farm productivity, timber and non-timber forest products, improved market value of land)
b. Environmental Benefits (carbon sequestration, soil fertility improvement, biodiversity conservation)
c. Social Benefits (employment generation, poverty reduction, resilience to climate change)
CONCEPTS:
1. Initial Investment Costs:
Agroforestry requires a significant initial investment for land preparation, tree planting, and infrastructure development. Farmers need to invest in quality saplings, fertilizers, and protective measures against grazing animals. For example, in Bihar, bamboo and poplar plantations require fencing to prevent damage from livestock.
2. Maintenance Costs:
Once the trees and crops are planted, regular maintenance is necessary to ensure optimal growth. This includes irrigation, pruning, disease management, and soil improvement measures. The cost of labour for these activities needs to be considered in the CBA.
3. Opportunity Costs:
Farmers often need to wait several years before tree crops become profitable. This waiting period represents an opportunity cost, as the land could have been used for other crops that provide immediate income.
4. Harvesting and Processing Costs:
Agroforestry products such as timber, fruits, and medicinal plants require proper harvesting and storage methods. Processing costs, such as drying wood for sale or extracting essential oils, add to the financial investment required.
5. Economic Benefits:
The diversified income from agroforestry reduces the risk of financial instability for farmers. In Bihar, farmers growing Mango (Mangifera indica), Guava (Psidium guajava), and Teak (Tectona grandis) in combination with seasonal crops have observed higher long-term earnings compared to monocropping systems.
6. Environmental Benefits:
Soil Fertility: Trees such as Neem (Azadirachtaindica) and Acacia (Acacia nilotica) improve nitrogen levels in the soil.
Carbon Sequestration: Agroforestry contributes to climate change mitigation by storing carbon in tree biomass.
Biodiversity Conservation: A mix of trees, shrubs, and crops provides habitat for beneficial insects, birds, and small mammals.
7. Social Benefits:
Agroforestry enhances employment opportunities for rural communities by requiring skilled and unskilled labour for planting, maintenance, and harvesting. It also promotes sustainable land use practices that protect the environment for future generations.
Importance of Cost-Benefit Analysis in Agroforestry Conducting a CBA helps farmers and policymakers make informed decisions about agroforestry adoption by:
- Identifying the most cost-effective tree-crop combinations
- Determining the financial feasibility of agroforestry systems
- Encouraging government support through subsidies and incentives
- Assessing the environmental impact and long-term benefits of agroforestry
Part-IV
Case Study: Agroforestry in Bihar
In Bihar, cost have shown promising results. For example, in Vaishali district, farmers practicing Mango-Wheat Agroforestry have reported an annual increase in income due to additional revenue from mango orchards while continuing wheat cultivation. Similarly, Poplar-based agroforestry in northern Bihar has demonstrated improved soil health and hig Cost-Benefit Analysis of Agroforestry Models in Bihar
1. Mango-Wheat Agroforestry System:
The Mango-Wheat system is one of the most common agroforestry models in Bihar, particularly in districts such as Vaishali, Muzaffarpur, and Bhagalpur. Farmers grow Mango (Mangifera indica) trees alongside wheat, ensuring year-round productivity and diversified income sources.
Initial Investment and Costs:
- Sapling Cost: 40 per mango sapling
- Land Preparation: ₹12,000 per acre
- Fencing and Protection: ₹6,000 per acre
- Labor Costs: 350 per day per worker
- Annual Maintenance: ₹8,000 per acre
- Harvesting Costs: ₹10,000 per acre
Economic Returns:
- Wheat Yield: 30,000 per acre annually
- Mango Yield: ₹80,000 per acre annually (after 5 years)
- Total Revenue: ₹1,10,000 per acre annually (after full tree maturity)
Long-Term Profitability:
Considering an investment of ₹30,000-40,000 per acre in the first year, farmers recover costs within 5-6 years. Over 20 years, the profitability of the system significantly outweighs the costs.
2. Poplar-Sugarcane Agroforestry System: Poplar (Populusdeltoides) is a fast-growing tree species commonly intercropped with sugarcane in Bihar’s northern districts, such as West Champaran and Madhubani. This system provides both short-term crop income and long-term timber revenue.
INITIAL INVESTMENT AND COSTS:
- Sapling Cost: 50 per Poplar sapling
- Land Preparation: ₹15,000 per acre
- Fencing and Protection: ₹5,000 per acre
- Labor Costs: 400 per day per worker
- Annual Maintenance: ₹9,000 per acre
- Harvesting Costs: 12,000 per acre
ECONOMIC RETURNS:
- Sugarcane Yield: ₹50,000 per acre annually
- Poplar Timber Revenue: ₹1,50,000 per acre (after 6 years)
- Total Revenue: ₹1,75,000 per acre annually (averaged over 6 years)
LONG-TERM PROFITABILITY:
Farmers investing ₹40,000-50,000 per acre in the first year recover costs within 4-5 years. Timber from Poplar ensures high profitability, making this system financially sustainable.
ENVIRONMENTAL AND SOCIAL BENEFITS OF AGROFORESTRY IN BIHAR:
- Soil Fertility: Both systems improve soil organic matter, reducing the need for synthetic fertilizers.
- Carbon Sequestration: Poplar and Mango trees absorb significant amounts of CO2, aiding in climate change mitigation.
- Employment Generation: These systems provide labour opportunities in planting, maintenance, harvesting, and processing.
- Climate Resilience: Agroforestry systems reduce the risk of crop failure due to extreme weather events.
CONCLUSION:
Agroforestry models like Mango-Wheat and Poplar-Sugarcane in Bihar offer long-term economic and environmental benefits. A thorough cost-benefit analysis shows that these systems are financially viable, enhance rural livelihoods, and contribute to sustainable agricultural development. With proper policy support, agroforestry can be further expanded to improve resilience and economic prosperity in Bihar’s farming communities.
ACKNOWLEDGEMENT:
I am equally grateful to Dr. K Ravichandran, IFS, Director IIFM, Bhopal Dr.C P Kala, Chairperson C3F and Dr. BhimappaKittur, Associate Coordinator, C3F at the Indian Institute of Forest Management, Bhopal, for facilitating this opportunity. My deepest thank salsogoto Prof. S.P. Singh, my Course Coordinator Economics of Agroforestry, forhis unwavering guidance, constructive feedback, and constant encouragement throughout work.
REFERENCE:
FAO (2013), “Advancing Agroforestry for Climate Resilience.”
NRCAF, ICAR – Agroforestry Models of India.
World Agroforestry Centre (ICRAF) Reports.
IIFM Reports & Policy Briefs.
GIZ (2020), “Sustainable Supply Chains in Forestry.”
Research carried out in Bihar Agroforestry Systems.


Authors are
1. Associate Professor, Environment and Developmental Economics, Indian Institute of Forest Management. Bhopal
2. Student of C3F 24-25 Batch, Indian Institute of Forest Management, Bhopal












